摘要:医疗保险的设立初衷是促进医疗服务利用。医疗保险的建立和迅猛发展带动了中国医疗保健事业的飞速发展。文章采用中国健康与养老追踪调查(CHARLS)2015年和2018年数据,利用双重差分回归模型实证分析了城乡居民医保整合对农村中老年人医疗服务利用的影响。主要结果如下:第一,城乡居民医保整合影响了农村中老年人医疗服务利用。表现为门诊利用概率和次数、费用的提升,以及住院费用的下降。第二,异质性分析方面,城乡居民医保整合更积极促进了中年人、东部地区、“一制多档”医保模式地区的医疗服务利用。第三,进一步分析发现,城乡居民医保整合影响医疗的可能机制是提高医疗报销率,消除了城乡医保差距,促进其就医,并且去更高级别医院就医,减少患者的住院次数,缩短了住院时间。同时门诊利用率的提高,可能会避免小病拖成大病。最后提出继续提升城乡居民医保的统筹层次,建立与收入和年龄相关的医保筹资和待遇保障体系,加快门诊统筹,扩大慢性病门诊报销的覆盖面,完善医疗保障的疾病预防、健康管理功能的政策建议。
关键词:医保整合;农村;中老年人;医疗服务利用
中图分类号:F842.0 文献标识码:A
文章编号:1005-3492(2023)06-0147-14
党和政府高度重视居民的医疗健康,完善乡村医疗卫生体系,是全面推进健康中国建设的迫切要求,也是全面推进乡村振兴的应有之义。2023年中共中央办公厅 国务院办公厅印发《关于进一步深化改革促进乡村医疗卫生体系健康发展的意见》,就乡村医疗卫生体系建设,要求提高农村地区医疗保障水平。医疗保险可以降低居民医疗负担,避免低收入群体因病致贫。近几十年来,社会医疗保险的建立和迅猛发展带动了中国医疗保健事业的飞速发展。从2003年起,社会医疗保险通过在农村地区建立新型农村合作医疗(简称:新农合)迅速扩大。2007年,城镇居民基本医疗保险开始将老年人、儿童、学生和残疾人等城镇非劳动人口纳入社会医疗保险体系。尽管社会医疗保险覆盖面取得了令人瞩目的增长,但中国社会医疗保险的低效率和不平等现象仍然持续存在。首先,城乡居民实行分治,城镇居民享受的城镇居民医保待遇高于农村居民享受的新农合。其次,医疗保险项目,尤其是新农合的管理水平较低(如县级),极大地削弱了医疗保险的风险分担和可移植性。第三,城乡医疗保险计划由不同的部级机构和职能部门管理。人力资源和社会保障部门负责管理城镇居民基本医疗保险,而国家卫生部门负责新农合,他们之间很少共享医疗保险的信息和资源。为解决医疗保险制度效率低下,以及医疗保险管理的社会分层、区域分割和碎片化导致的医疗健康不平等,2016年1月,国务院发布《关于整合城乡居民基本医疗保险制度的意见》,明确指出要整合城镇居民医保和新农合两项医保制度,建立统一的城乡居民基本医疗保险制度(简称城乡居民医保)。城乡居民医保制度覆盖了原新农合和城镇居民医保覆盖的人群,同时将原本只在县级统筹的新农合变成了市级统筹的城乡居民医疗保险。由于农村居民原本的医保待遇较低,所以统一整合后,对农村居民医保待遇的提高更大(表1)。如北京新农合在2017年前医保一、二、三级医院住院报销比例为70%、65%、55%,医保整合后的城乡居民医保报销比例提高到80%、78%、75%,住院封顶线由18万提高到20万。河北省新农合医保目录内药物共有1000种左右,整合后增多到2900种左右。

在本文中,我们的目的是评估城乡居民医保整合对医疗服务利用的影响。尽管城乡医疗保险一体化十分重要,但据我们所知,鲜有研究对大规模医保整合以来的医疗服务利用影响进行实证和系统的评价。首先在理论上,城乡医保一体化消除城乡在社会医疗保险登记、监管和管理方面的差异,减少农村人口到城镇就医的制度障碍和政策限制。这将增加农村居民获得医疗服务利用的机会,使他们有机会获得与城市居民同等的医疗服务利用。其次,通过统筹层级和资金,加强了风险统筹,合理扩大的统筹将产生更好的风险分担和财政可持续性,促进更多的医疗服务利用。第三,整合提高了医疗保险的福利,如报销率。随着医疗保险待遇的提高,农村居民的医疗服务利用将会提高。
(一)文献综述
一些国家和地区的经验表明,医疗保险整合或扩大健康保险覆盖范围可显著提高保健利用。Jowett et al.发现医疗保险可以显著促进门诊服务,并且对低收入人群更为明显。Card et al.发现不同收入水平的医疗保险参保者的医疗服务项目都显著增加。Saksena et al.运用卢旺达全国抽样调查数据,考察了互助医疗保险(MHI)对参保家庭就医行为的影响,参保人生病时就医的概率是未参保者生病时就医概率的两倍。
早期学者们对整合前中国的新农合进行了较多研究。Yip and Hsiao在新农合实施初期就发现该政策促进了医疗服务利用;Wagstaff et al.发现参保者对门诊和住院医疗资源的利用明显增加;Lei and Lin发现农村居民参与新农合会显著增加一般性身体检查项目的使用次数。李湘君等研究表明新农合在缓解“因病致贫、因病返贫”方面发挥了重要的作用。这些结论在后期的研究中仍然得到广泛支持。但也有研究表明,新农合对农民医疗服务利用的影响程度并不确定。
随着城乡居民医疗保险整合进程的发展,也有学者开始研究城乡居民保险对居民医疗服务利用的影响。朱凤梅认为城乡居民医保整合促进了居民的医疗服务需求和就医。常雪的研究则表明,城乡医保统筹政策减轻了中等收入居民的医疗负担。而对于医保统筹对于住院和门诊的利用,众多学者的研究也各不相同,马超等和Ren et.al 的研究表明:城乡医保一体化制度显著提高门诊方面的医疗服务利用,但住院方面的改善并不明显。而Huang et.al和封进等的研究则表明,整合显著提高了农村中老年居民的住院护理利用率,这种积极作用在贫困地区尤为显著。不同研究的结论不同,很有可能是不同年份的数据造成的差异。
(二)理论分析
Grossman提出健康资本的概念并构建了健康需求模型,并假设消费者对于医疗服务利用的需求是由于健康需求所导致的。假设一个代表性的消费者在一生中各个时期的效用函数为:

Ht是健康资本存量,Zt是除健康外的其他商品的数量。消费者在做出投资决策时,面临着两种限制:一是传统消费者理论的收入限制;二是时间限制。消费者面临的预算约束是:

Pt和Qt分别是医疗服务Mt和其他商品Xt的价格,Wt是工资率,TWt是工作时间,A0是初始财富。除了预算约束外,消费者还面临时间约束。:

其中TWt为工作时间,TLt是健康不足导致的时间损失。Tt为生产商品的时间。Tht为健康投资时间。解得上述模型的均衡条件为:

式中,γt是健康作为投资品的市场回报率;αt为是健康作为消费品时的边际效用价值,称为消费者的精神回报率;r为利率;δt是折旧率。如图1所示,健康的收益曲线和成本曲线的交点决定了对健康的最优需求Ht*。我们将对健康的投资简化为医疗服务利用。那么如果医疗服务利用的成本降低,则只会降低健康投资的边际成本(πt-1),由
可得收益曲线将向右边移动,消费者对健康的最优需求 Ht将提高,健康需求的提高,使得消费者的医疗服务利用也随之提高。

前文分析已经从模型上论述了提高医保待遇会促进医疗服务利用。从现实层面上讲,全面实施城乡居民医保整合有望提高农村居民的医疗服务利用,原因有以下三点:首先,城乡居民医保整合消除了社会医疗保险注册、监管和管理方面的城乡差距,减少了农村人口在城市就医的制度障碍和政策限制。这将增加农村居民获得医疗服务利用的机会,使他们有机会获得与城市居民同等的医疗服务利用。其次,整合通过合并新农合和城镇居民医保的资金以及将它们从较低级别(例如县级)汇集到较高行政级别(即地市级)来增强风险分担。在所有条件相同的情况下,扩大的资金池将产生更好的风险分担和财务可持续性,促进更多的利用。第三,城乡居民医保整合提高了农村居民的医疗报销率等健康保险福利,医疗服务利用相对价格下降,农村居民的医疗服务利用将会提高(图2)。根据以上理论分析,提出假说:城乡居民医疗保险整合提高了农村中老年人的医疗服务利用。

图2 医保整合促进农村中老年人医疗服务利用的影响路径
(一)数据来源
本文所使用的数据来自中国健康与养老追踪调查(CHARLS)。CHARLS访问对象为45岁以上中老年人,全国基线调查于2011年开展,覆盖全国28个省(市、自治区)约1万户家庭中的1.70万人,每2到3年追踪一次,目前已开展4次追踪调查,分别是2011年、2013年、2015年、2018年。鉴于城乡居民医保整合分批次逐步试点开展,但全国大规模将新农合与城镇居民医疗保险整合为城乡居民医疗保险是在2016年国务院印发《关于整合城乡居民基本医疗保险制度的意见》之后。本文使用最新公布的2015—2018年CHARLS两期数据。
根据本文研究内容,首先选取完整参加2015年和2018年医保的个体,其中2015年为参加新农合的个体,2018年为参加新农合和参加城乡居民医保的个体。本文根据被访者回答的参保类型识别其是否经历了城乡居民医保整合,同时参考常雪等、刘琪等和张开然等研究,为了避免访问者认知导致的回答错误,选择以家户为单位确认其参保情况,若其家户成员中至少有一人回答参加了城乡居民医保,则认为家户所有成员都参加了城乡居民医保整合。其次,排除未参保、参加城职保的个体、参加商业医疗保险的、非本地参保的个体。最后,排除了无法识别参保状态和变量数据缺失的数据。经过以上筛选过程,形成了一个两期平衡面板数据。其中,实验组2182个,对照组11728个。实验组为2015年基期参加新农合的中老年人,并且2018年参加城乡居民医保;与之对应,对照组是指在2015年基期已经参加新农合的中老年人,并在2018年仍参加新农合。
(二)变量选取与描述性统计
1.医疗服务利用
参考经典文献,本文主要使用门诊利用、住院利用刻画中老年人的医疗服务利用。
第一,本文根据CHARLS中的提问“过去一个月里,您是否去医疗机构看过门诊”和“过去一个月中,您去医疗机构看过几次门诊”,以及“最近一次门诊治疗的自付费用”衡量门诊利用。
第二,本文根据CHARLS中的提问“过去一年内,您住过院吗”和“过去一年,您接受过几次住院治疗”衡量住院利用状况以及“最近一次住院治疗的自付费用”衡量住院利用。
2.控制变量
本文从以下五个层面选取控制变量:第一,个体特征主要包括性别(女=1,男=0)、年龄、婚姻(已婚、同居=1,未婚、离异、丧偶=0)、收入(家庭人均年收入)、受教育年限(未受过教育或未读完小学=0;小学=6;初中=9;高中或中专=12;大专=15;本科=16;硕士=19;博士=23)、子女数目(存活的亲生子女和继子女的总数)、自评健康(很好=1;好=2;一般=3;不好=4;很不好=5)等;第二,个人健康行为习惯主要包括是否抽烟(吸烟=1;不吸烟=0)、是否锻炼身体(锻炼=1;不锻炼=0)、是否喝酒(喝酒=1;不喝酒=0)等;第三,家庭卫生环境用家庭卫生整洁程度(非常整洁=1;很整洁=2;整洁=3;一般=4;不整洁=5)来表示;第四,医疗机构服务质量和就医成本用医疗机构诊疗水平满意度(非常满意=1;比较满意=2;一般=3;比较不满意=4;一点也不满意=5)指标来表示;第五,地区经济发展层面主要包括省份差异等(表2)。
表2 描述性统计分析

3.变量描述性统计结果
首先,在基期2015年和2018年,从过去一个月是否去看门诊以及过去一个月的门诊次数来看,全样本均值为0.184和0.412,这表明大部分中老年人在调研期一个月内还是较少看门诊。在基期2015年和2018年,实验组和对照组都不存在显著差异,但初步看来,医保整合后农村中老年人的门诊利用是提高的。从过去一年是否住院以及过去一年的住院次数来看,全样本均值为0.148和0.228,这表明大部分中老年人在调研期一年内还是较少住院。在2018年,实验组和对照组都存在显著差异,但初步看来,医保整合后农村中老年人的住院利用是降低的。在各个控制变量方面,大部分控制变量在实验组和对照组之间并不存在显著差异。虽然少部分变量比如医疗满意程度、子女数目等在实验组和对照组之间存在显著差异,但是这些差异在城乡居民医保整合政策实施前后没有发生明显变化。
(三)模型设定
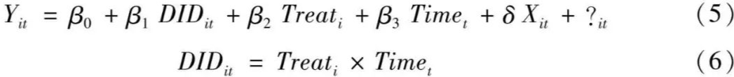
从新农合到城乡居民医保整合的逐步过渡,为本文研究特定的医疗保险制度设计对医疗服务利用的影响提供了一个良好的自然实验。本文使用双重差分法(Difference - in - differences, DID )来解决模型内生性问题及可能存在的遗漏偏差问题。首先根据DID模型设定的基本步骤,构建两个虚拟变量:第一,“实验组”和“对照组”的虚拟变量Treat, 当处于实验组时Treat=1;对照组Treat=0。第二,政策时间虚拟变量Time,2015年取值为0,2018年取值为1。基于DID方法的回归具体模型如下:

其中,下标i表示个体,t表示时期,Yit是因变量,即居民i在第t期的医疗服务利用指标。DIDit是核心解释变量。其中需要注意的是,是否门诊、是否住院是离散变量,门诊次数和住院次数是非负整数,如果采取OLS模型构建DID,则有可能导致结果的偏误。所以对于离散变量,本文使用Logit模型做DID的非线性估计。考虑到门诊次数和住院次数的方差大于平均数,且存在大量零值,所以使用零膨胀的负二次项回归模型做DID的非线性估计。
(一)平行趋势检验
双重差分法能够正确识别因果效应的前提是假设实验组和对照组在政策冲击前具有平行趋势。研究者通常通过检验实验组和对照组事前趋势是否相同来间接地检验平行趋势假设。本文利用事件分析法来进行平行趋势的检验。以2015年为基期,考察政策发生前的2011年和2013年,以及政策发生后的2018年实验组和对照组被解释变量的差距与2015年实验组和对照组被解释变量的差距,是否存在明显变化,即是否显著异于0来间接地检验事前平行趋势是否成立。可以看到图3中,不同的医疗服务利用变量中,2011年和2013年实验组和对照组的差距与2015年实验组和对照组的差距之间没有明显变化,即都没有显著异于0,因此可以认为事前平行趋势得到了满足。

图3 平行趋势检验
(二)基准回归
根据模型设定内容,表3汇报了基准回归结果。从是否门诊看,本研究使用了基于logit模型的双重差分,DID的系数不等于边际效应,所以需要进一步测算边际效应。城乡居民医保整合使得农村中老年人是否看门诊的对数几率显著提高了22.3个百分点,进一步测算边际效应,发现整合城乡居民医保使得农村中老年人参加门诊的概率显著提高了3.20%。而从门诊次数来看,整合城乡居民医保使得农村中老年人的平均门诊次数提高到原来的1.30(e0.266)倍,并且在5%的显著性水平显著。并且表3显示,门诊次数的Alpha值为9.97,远大于1.96,故可以在1%的显著性水平上拒绝过度分散参数“Alpha=0”的原假设(对应于泊松回归),所以本研究使用负二次项回归是正确的。同时Vuong统计量为2.00,大于1.96,在5%的显著性水平下应该拒绝“标准负二次项回归”,应该使用“零膨胀负二次项回归”。从门诊费用来看,医保整合显著提高了16.7%的门诊费用,原因可能是门诊次数提高了,但是由于我国的医疗保险主要是保大病,报销项目主要集中在住院,城乡居民医保的门诊报销比例并未较新农合明显提高。
表3 基准回归


但本研究发现,整合城乡居民医保使得农村中老年人住院概率和次数略微降低且不显著,但是住院费用显著下降了23.2%。原因可能有以下三点:一是住院患者通常病情较重,无论参加何种医保,乃至是否有医保,为了身体健康和生命安全都不得不接受住院治疗,医保制度影响不大。二是在中国的医疗就诊制度当中,患者往往首先前往门诊就诊,根据医生的判断是否需要住院,所以门诊次数的提高,很大程度上避免了患者小病拖成大病,甚至造成门诊次数提高而住院次数降低。三是虽然住院次数没有显著变化,但住院费用显著降低了,原因可能城乡居民医保的住院报销比例较新农合明显提高,所以住院自付费用下降明显。
控制变量方面,受教育年限越高,对健康知识越了解,更愿意去体检,以及就医。女性通常较男性心细,忧患意识较强,对自身健康的反应较为敏感,更愿意去就医。收入越高的人群更愿意去保养自己的身体,所以更加愿意去体检和就医。已婚的比未婚的情感生活更加丰富,伴侣对其身体的担忧会让其更愿意去保障自身身体健康,提高体检概率。自评健康较差的人群对健康敏感程度更高,更愿意去体检以及就医。拥有良好健康习惯的人,如不吸烟和坚持锻炼的人群更愿意去体检和就医。对当地医疗条件越不满意说明当地医疗资源不足,当身体未出现不适时,不愿意去体检,影响了人群去体检的概率,但或许由于医疗条件的不足,更容易引发患者对身体小毛病的担忧,当发现身体不适,由于担忧当地医疗条件,反而更容易去就医。
(三)异质性分析
对于Panel A,按照年龄进行分组,具体在年龄60岁处分为中年人组(Age<60岁)和老年人组(Age≥60岁)。城乡居民医保整合对中年人的门诊医疗服务利用产生了积极的促进作用。此举使得中年人更加愿意在身体出现不适时前往门诊就医。这种积极的趋势很可能是由于医保待遇提高后,中年人的行动能力较强,因此能够更好地接受门诊医疗服务利用。相对应的,整合也显著降低了中年人住院服务的利用。这种趋势的发生也证明了门诊利用的提高能够降低住院,从而避免了因小病拖成大病的情况发生。相比于老年人,中年人的身体恢复速度更快、身体状况更佳。因此,医保政策在促进门诊治疗方面对中年人的影响更为显著。
表4 异质性分析

对于Panel B,按照地区进行分组,具体分为西部地区、中部地区和东部地区。整体来看,城乡居民医保整合政策对东部地区的影响较为显著。其原因很可能与东部地区医疗水平较为发达,医疗保障能力更强,医保待遇提高更高有关。在医疗设备和技术方面,东部地区拥有大量的高端医疗设备和尖端技术,这些设备和技术在疾病诊治、手术治疗、康复治疗等方面具有很大的优势。在医务人员的素质和数量方面,东部地区的医务人员通常受过较高水平的医学教育和培训,具有更加专业的技能和丰富的经验,且医务人员的数量相对较多,能够更好地满足人民的医疗需求。在医疗服务利用的质量和数量方面,东部地区的医疗服务利用通常更加便捷和高效,能够提供更加全面、专业和优质的医疗服务利用。
对于Panel C,大部分城市城乡居民医保整合后只设置了一种档次的医保待遇,但部分城市设置了多档次的医保待遇,一般是2档或者3档,居民可根据自身需要选择不同档次,档次较高的相应缴费较多,从而医保待遇更好。区分“一制一档”和“一制多档”模式后,发现“一制多档”对农村中老年人医疗服务利用的影响要大于“一制一档”,主要体现在门诊次数变化要优于“一制一档”。“一制多档”是指在医保制度中,将不同的缴费档次并列而行,让群众可以根据自己的医疗健康需求选择适宜的档次,从而更好地实现医保制度的个性化和差异化服务。这种政策的实施对于满足不同人群的多元化医疗需求非常重要。通过“一制多档”政策,可以给予更多的自主选择权。群众可以根据自己的实际情况和需求,选择合适的医保缴费档次,从而享受到更适合自己的医疗保障服务。
(四)稳健性检验
1.PSM-DID
倾向得分匹配(PSM)可以控制样本在可观测特征上的偏差,PSM与DID结合可以更有效减少由于选择性偏误导致的内生性的问题。图4汇报了使用PSM-DID 模型前平衡性检验的结果。结果显示,匹配后大多数变量偏差都比较小,从而证明采用PSM- DID方法是合理的。PSM-DID的结果也表明了城乡居民医保整合显著提高了其门诊服务利用,但对住院服务利用的影响并不显著。


2.安慰剂检验
为了排除随时间改变的估计偏差,本文选取2013年和2015年政策干预时点之前的两期数据,假设2014年为政策干预时点年份进行回归。表6结果显示,将政策时点更换后,结果均不显著,表示支持实验组与对照组的趋势变化是由城乡居民医保整合导致的结论。
表6 安慰剂检验结果

(五)影响机制分析
本研究进一步评估了城乡居民医保整合提高农村居民医疗服务利用的可能机制。
第一种可能的机制是,城乡居民医保整合提高了医疗保险福利,如报销率,降低患者自费比例。为了测试这种机制,本研究首先使用CHARLS数据中自我报告的总费用和自付费用来计算自费比例。表7所示的估计结果表明,整合使门诊患者自费比例显著下降了13.94个百分点,住院患者自费比例显著下降了7.15个百分点。门诊自费比例下降,一是由于城乡居民医保提高了普通门诊的报销比例;二是由于城乡居民医保整合扩大了门诊慢特病的种类以及报销比例,中老年人患有慢性病和特种疾病(主要是需要长期治疗的大病)的比例更高,所以城乡居民医保整合在门诊报销上对中老年人更加明显。门诊报销比例和住院报销比例的提高降低了医疗服务利用相对价格,缓解了患者有病不敢医的恐慌,促进了其就医,而就医的起点就是门诊,所以导致了门诊概率和门诊次数的提高,促进了患者的门诊消费,提高了门诊自付费用。而虽然住院报销比例提高,但由于住院总费用较高,报销比例的变动虽小,但实际报销额更大,所以降低了住院自付费用。
第二个可能机制是,城乡居民医保整合消除了健康保险方面的城乡差距,由新农合的县级统筹提升到城乡居民医保的市级统筹,农村居民到市里看病不再需要异地转诊,可直接报销,从而使农村居民能够在更高级别的设施(即县级以上医院)寻求医护。本研究通过研究整合如何影响农村居民对最近一次接受住院治疗或在最近一次接受门诊护理的机构来进行分析。表7所示的结果表明,医保整合显著促进了农村中老年人前往高级别设施住院,但对门诊医院级别没影响。原因在于,城乡居民医保整合后,对于需要住院的重病,农村中老年人更愿意也可以去医疗能力较好的高级别设施就医,高级别的设施由于其医疗水平较高,提高疾病治愈率,减少同年度患者的住院次数,并且缩短了住院时间。而对于普通病症(如感冒、发烧类危害小疾病),患者并不愿意去相对距离更远的县级以上医院(一般在市区)就医。而是就近在县级及以下医院看病。
第三个可能机制是,城乡居民医保整合促进了门诊利用,门诊利用率的提高,避免了小病拖成大病,可能会减少住院利用,导致虽然住院报销比例提高,但是住院的概率和住院次数没有明显提高,甚至略有下降。近年来,中国的医疗制度越来越提倡门诊利用,推动门诊慢特病报销和门诊统筹进程,甚至开展门诊日间手术。原因在于门诊利用的提高,可在疾病未发展成重度前及时处理,阻止疾病的发展。
表7 医保整合对医疗服务利用的影响机制分析

本文采用中国健康与养老追踪调查(CHARLS)2015年和2018年数据分析了城乡居民医保整合对门诊和住院利用两方面的影响。并结合国内实际,提出以下政策建议。
一是继续提升城乡居民医保的统筹层次。2023年《关于进一步深化改革促进乡村医疗卫生体系健康发展的意见》提出,省级要加大统筹力度,确保乡村医疗卫生体系均衡健康发展。医保统筹层次的提高,可以促进居民前往更高级别医院就医,从而获取更高的医疗保障,减轻患者负担,减少患者痛苦。所以继续将目前市级统筹的城乡居民医保制度提高到省级统筹层面,乃至最后实现全国统筹是提高城乡居民医疗保障的必要措施。2021年9月,国务院办公厅《关于印发“十四五”全民医疗保障规划的通知》,进一步明确了“十四五”期间“提高基金统筹层次”的目标,即“按照制度政策统一、基金统收统支、管理服务一体的标准,全面做实基本医疗保险市地级统筹”,同时“推动省级统筹”。下一步要不断完善省级统筹的必要准备工作。
二是建立与收入和年龄相关的医保筹资和待遇保障体系。2023年《关于进一步深化改革促进乡村医疗卫生体系健康发展的意见》提出,要完善收入和待遇保障机制。根据不同收入设定不同缴费额度,收入越高,缴费越高。对于城乡居民医保,应该按所在地区人均收入的6%(与职工医保对应)缴纳。但需要注意的是,以2022年全国人均年收入的6%约为2214元,远高于现行医保缴费的420元,可根据地方发展水平和家庭贫困水平,合理设置政府补贴额。根据不同年龄和收入设定不同的医保待遇,年龄越大,待遇越好,医保待遇向贫困人群倾斜。老年人身体水平逐步下降,但医保待遇与其实际所需不符,是现行医保的矛盾之一。而医保待遇向低收入者倾斜,更是维护社会公平正义,防止“越贫困越虚弱,越虚弱越贫困”的恶性循环,破解贫困代际传递的应有之义。
三是继续加快门诊统筹,扩大慢性病门诊报销的覆盖面。2023年《关于进一步深化改革促进乡村医疗卫生体系健康发展的意见》提出,要依托乡村医疗卫生机构推行门诊统筹按人头付费。城乡居民医保整合对门诊服务利用具有显著的促进作用,但由于目前基本医保的报销主要在住院方面,对门诊报销比例的影响并不显著。而门诊利用的提高可以明显降低住院次数和费用,有利于健康保障端口前移。所以建议加快门诊统筹,提高门诊报销比例。同时有慢性病患者家庭的医疗消费已处于高位,扩大慢性病门诊报销的覆盖面以防止有慢性病患者的农村家庭因病致贫、因病返贫。
四是完善医疗保障的疾病预防、健康管理功能,构建优质便捷的护理服务体系。2023年《关于进一步深化改革促进乡村医疗卫生体系健康发展的意见》提出,加强乡村医疗卫生体系疾病预防控制能力建设,筑牢农村疾病预防控制网底。随着人口老龄化加重,老年人的医疗需求不断提高。除门诊和住院服务外,应将预防保健、长期护理等服务纳入医疗报销的范围。同时我国老年人及失能老年人人数众多,应当丰富和发展居家护理服务内容,推进社区养老护理服务设施建设和改造,逐步建立社区护理服务体系。